You are currently viewing Classification of handoffs  and fourth generation mobile networks
Classification of handoffs and fourth generation mobile networks

Classification of handoffs and fourth generation mobile networks

Classification of handoffs and fourth generation mobile networks

Classification of handoffs  and fourth generation mobile networks

1. Introduction of fourth generation mobile networks






 

Handoff refers to a process of transferring an ongoing active call / data session from one channel to another channel network and it happens because there are several reasons like time slot, frequency band, codeword, or combination of these for time-division multiple access (TDMA), frequency-division multiple access (FDMA), code-division multiple access (CDMA), or a hybrid scheme. Handoff is also called as ‘Handover’.






 

First generation (1G), second generation (2G) and third generation(3G) mobile systems depended on the employment of the radio spectrum available for public use or licensed for use by a very small number of service providers and network operators in all regions. Differences in bandwidth and coverage areas have led to the necessity of developing terminals (multi-network interface device) that are capable of using the variety of different network services provided.






 

The fourth generation wireless communications is expected to integrate a potentially large number of different wireless technologies in what could be considered a huge step forward toward universal wireless access. Even though fourth generation have vision of the new wireless technologies. Based on the emergent trends of mobile communication, 4G is having larger bandwidth, higher data rates, smoother and quicker handoff, and will focus on reducing faultless service and allowing seamless handoff across a multitude of wireless networks.

Handoff is the mechanism which transfers an ongoing call from one cell to another cell as users are near to the coverage area of the neighbouring cell.
If handoff does not perform quickly, the Quality of Service (QoS) will not provided to the acceptable level and the ongoing call/data service connection will be lost.

2. Classification Of Handoffs

Types of handoffs in mobile communication,  Mainly each mobile terminal (node) is, at all times, within range of at least one network access point also known as a base station. The area serviced by each base station is identified as its cell. The dimensions and profile of every cell depend on the base station's network type, size, and transmission and reception power of each base station. 

Usually, cells of the same network type are adjacent to each other and overlap in such a way that, for the majority of time, any mobile device is within the coverage area of more than one base station. Cells of networks, on the other hand, are overlaid within each other. Therefore, the key issue for a mobile host is to reach a decision from time to time as to which base station of which network will handle the signal transmissions to and from a specific host and handoff the signal transmission if necessary.

Types of handoffs further classify based on several factors shown in 
Figure 1.
No longer is the network type the only handoff classification factor. Many more factors constitute categorization of handoffs including the administrative domains involved, number of connections and frequencies engaged. The following are categorization factors along with the handoff classifications that are based on them.

2.1. Network Types Involved

In the fourth generation networks, the most common classification factor of Handoffs can be classified as either horizontal or vertical. This depends on whether a handoff takes place between a single type of network interface or a variety of different network interfaces.  

Types of handoffs used for mobile communication networks

Horizontal handoff: the handoff process of a mobile terminal between access points supporting the same network technology. For example, the changeover of signal transmission (as the mobile terminal moves around) from an IEEE 802.11b base station to a geographically neighboring IEEE 802.11b base station is considered as a horizontal handoff process. 
Vertical handoff: the handoff process of a mobile terminal among access points supporting different network technologies. For example, the changeover of signal transmission from an IEEE 802.11b base station to an overlaid cellular network is considered a vertical handoff process. Horizontal and vertical handoffs are discussed in more detail in the following sections.

2.2. Frequencies Engaged

Intra-frequency handoff: the handoff process of a fourth generation mobile terminal across access points operating on the same frequency. This type of handoff is present in code-division multiple access (CDMA) networks with frequency-division duplex (FDD). 
Inter-frequency handoff: the handoff process of a mobile terminal across access points operating on different frequencies. This type of handoff is present in CDMA networks with time-division duplex (TDD) and is the only handoff type supported in GSM cellular systems.

2.3. Number of Connection Involved

There are three types of Handoffs classification in the fourth generation. 
(i) Hard handoff: In a hard handoff the radio link to the old base station is released at the same time a radio link to the new base station is established. In other words, using hard handoff, a mobile node is allowed to maintain a connection with only one base station at any given time. 
(ii) Soft handoff: Contrary to hard handoffs, in a soft handoff a mobile node maintains a radio connection with no less than two base stations in an overlapping handoff region and does not release any of the signals until it drops below a specified threshold value. Soft handoffs are possible in situations where the mobile node is moving between cells operating on the same frequency. 
(iii) Softer handoff: A softer handoff is very similar to a soft handoff, except the mobile terminal switches connections over radio links that belong to the same access point.

2.4. Administrative Domains Involved

An administrative domain is a group of systems and networks operated by a single organization of administrative authority. Administrative domains play a important role in fourth generation networks as different networks, each controlled by different administrative authorities, become  available. Consequently, the classification of handoffs in terms of administrative domains is a crucial issue.
Intra-administrative handoff: a handoff process where the mobile terminal transfers between different networks (supporting the same or different types of network interfaces) managed by the same administrative domain. 
Inter-administrative handoff: a handoff process where the mobile terminal transfers between different networks (supporting the same or different types of network interfaces) managed by different administrative domains. 

2.5. Necessity of Handsoff

Handoffs can be classified based on need. Obligatory handoff: In some situations it is necessary for the mobile terminal to transfer the connection to another access point in order to avoid  disconnection. Voluntary handoff: In other situations transfer of connection is optional and may or may not improve the quality of service. Voluntary and obligatory handoffs are discussed in more details later.

2.6. User Control allowance

Handoffs can be classified as proactive or passive. Proactive handoff: In a proactive handoff the mobile terminal’s user is allowed to decide when to handoff. The handoff decision can be based on a set of preferences specified by the user. 
Proactive handoff is expected to be one of the radical features of fourth generation (4G)4G wireless systems. Passive handoff: The user has no control over the handoff process. This type of handoff is the most common in first, second, and third-generation wireless systems.

3. Handsoff in 4G Heterogeneous Networks

Handoffs can be further defined as the transition of signal transmission between different cells. A handoff scheme is required to preserve connectivity as devices move about, and at the same time curtail disturbance to ongoing transfers. 
Therefore, handoffs must exhibit low latency, sustain minimal amounts of data loss, as well as scale to large networks. Handoff schemes have been thoroughly researched and deployed in cellular systems, also known as wireless wide area networks (WWANs), and are escalating in importance in other networks, such as wireless LANs (WLANs), as research in fourth generation (4G) wireless communications increases in popularity. 
Handoffs can be classified as either horizontal or vertical, as depicted in Figure 2. 

Horizontal handoff is the changeover of signal communication from one base station to a geographically neighboring base station supporting the same technology, as the user roams about. Horizontal handoff is also referred to as intra-technology handoff. 
Every time a mobile cellular host crosses from one cell into a neigh-boring cell (supporting the same technology), the network routinely and automatically exchanges the coverage responsibility from one base station to another. 

 Each base station change, as well as the exchange procedure or method is known as horizontal handoff. In a properly operating network, handoff takes place smoothly and efficiently, without gaps in communications and without uncertainty as to which base station should be dealing with the mobile node. 
Mobile users need not get involved in order for horizontal handoff to take place nor do they have to sense the handoff process or identify which base station is managing the signals at any certain time. Horizontal handoff is the most widespread definition of handoff due to the extensive research that has taken place in this field in the last several years. 
Vertical handoff, on the other hand is a more recent and exciting scheme that promises to transfigure the way we communicate. While horizontal handoff is a handover among base stations in service by the same wireless network interface, vertical handoff takes place between different network interfaces that usually represent different technologies 2. 
Vertical handoff architectures and schemes will play a major role in the IEEE 802.21 standard and shall pave the road for emergence of fourth Generation (4G) overlay multi-network environments. 
There are two types of vertical handoffs: upward and downward. An upward vertical handoff 3 is roaming to an overlay with a larger cell size and lower bandwidth such as WANs (cellular networks), and a downward vertical handoff is roaming to an overlay with a smaller cell size and larger bandwidth. Downward vertical handoffs are less time critical, since a mobile device can always remain connected to the upper overlay and not handoff at all.

3.1 Seamless Handoff

In one of the revolutionary drivers for 4G, technologies will complement each other to provide ubiquitous high-speed wireless connectivity to mobile terminals 4. In such an environment, it will be necessary to support seamless handoffs of mobile terminals without causing disruption to their ongoing sessions. 
As a result, the need for seamless handoff across the different wireless networks is becoming increasingly important. Whereas wired networks regularly grant high bandwidth and consistent access to the Internet, wireless networks make it possible for users to access a variety of services even when they are moving. 
Consequently, seamless handoff, with low delay and minimal packet loss, has become a crucial factor for mobile users who wish to receive continuous and reliable services. 
One of the key issues that aid in providing seamless handoff is the ability to correctly decide whether or not to carry out vertical handoff at any given time. This could be accomplished by taking into consideration two key issues: network conditions for vertical handoff decisions and connection maintenance 5. These two schemes need to be tightly coupled in order to move seamlessly across different network interfaces. To attain positive vertical handoff, the network state ought to be constantly obtainable by means of a suitable handoff metric. 
In multi network environments, this is very challenging and hard to achieve as there is not a single factor that can provide a clear idea of when to hand off. Signal strength, which is the chief handoff metric measured in horizontal handoffs, cannot be utilized for vertical handoff decisions due to the overlay nature of heterogeneous networks and the different physical techniques used by each network. Thus, a natural question arises as to what factors should be considered in the handoff decision. 
In the next sections we discuss desirable handoff features, horizontal and vertical handoff procedures, and newly proposed vertical handoff characteristics in detail, and explain their significance in fourth generation (4G) handover schemes.

3.2 Desirable Handoff Features

An efficient handoff algorithm can achieve many desirable features by trading off different operating characteristics. Some of the major desirable features of any handoff algorithm 6 are described below (refer to Figure. 3).

Reliable: A handoff algorithm should be reliable. This means that the call should have good quality after handoff. Many factors help in determining the potential service quality of a candidate base station. Some of these factors include signal-to-interference ratio (SIR), signal-to-noise ratio (SNR), received signal strength (RSS), and bit error rate (BER). Many more critical factors are discussed in the next section. 
Seamless: A handoff algorithm should be fast so that the mobile device does not experience service degradation or interruption. Service degradation may be due to a continuous reduction in signal strength or an increase in co-channel interference (CCI). 
Service interruption may be due to a “break before make” or hard handoff approach of handoff being exercised in the network.
Interference prevention: A handoff algorithm should avoid high interference. Co-channel interference is caused by devices transmitting on the same channel. This is usually caused by a neighboring detrimental source that is operating on the same channel. Interchannel interference, on the other hand, is caused by devices transmitting on adjacent channels. Both CCI and interchannel interference may severely limit the transfer rates of a wireless network. 
WLANs suffer from interference more than WWANs; the reason for this is the fact that most networking products available at present follow IEEE 802.11 standards, which operate in the unlicensed 2.4 and 5.2 GHz bands. 

As a result, devices operating in these ranges are open to all different kinds of noise and interference coming from a variety of sources such as other legitimate 802.11 networks to Bluetooth devices or cordless phones operating in the same band as the wireless network. 
Cellular networks have managed over the years to fix many of their interference problems, and current generations infrequently suffer from interference. 
Interference in WLANs has up to now been a major issue, although as WLAN technology advances interference should eventually be fully eliminated. Nonetheless, before vertical handoff from WWAN to WLAN takes place, examining the network to make certain that CCI or interchannel interference doesn’t exceptionally degrade the network is a key concern.
Load balancing: A handoff algorithm should balance traffic in all cells, whether of the same or different network type. This helps to eliminate the need for borrowing channels from neighboring cells that have free channels, which simplifies cell planning and operation, and reduces the probability of new call blocking. 
Improving performance: The number of handoffs should be minimized. Excessive horizontal or vertical handovers lead to heavy hand off processing loads and poor communication quality. 
In a handoff scenario, the more handoff attempts, the greater the chances that a call will be denied access to a channel, resulting in a higher handoff call dropping probability. 
A high number of horizontal handoff attempts may result in more delay in the processing of handoff requests, which will cause signal strength to decrease over a longer time period to a level of unacceptable quality. 
In addition, the call may be dropped if a sufficient SIR is not achieved. Handoff algorithms require network resources to connect the call to a new base station.
Thus, minimizing the number of handoffs reduces the switching load. Unnecessary handoffs should be prevented, especially when the current base station is able to provide the desired service quality without interfering with other mobile devices and base stations. 
In a heterogeneous networking environment the challenge of choosing the “best” network is a major issue. 
An internal LAN with a weak signal inside a limestone building may yield better performance than a WAN with a strong signal.
Handover between the different network tiers can lead to a very different quality of service being available to the mobile terminal, such as handover from a WLAN operating at 11 Mb/s to a GSM network operating at 9.6 kb/s. There may also be other factors such as economic discrepancies that do not occur in individual networks; some networks charge per minute or byte.

3.3 Handoff Process

Both horizontal and vertical handoff processes consist of a three phases: handoff decision, radio link transfer and channel assignment 7. In this section we discuss each phase and describe the role it plays in fourth generation handoffs.

3.3.1 Handoff Decisions

In the fourth generation, Horizontal handoff decisions mainly depend on the quality of the channel reflected by the received signal strength and the resources available in the target cell. 
Many systems are interference limited, meaning that signal strength is an adequate indication of channel quality. A handoff is made if the RSS from a neighboring base station exceeds the RSS from the current base station by a predetermined threshold value. 
In vertical handoffs, many network characteristics have an effect on whether or not a handoff should take place. Most of these characteristics were not needed in horizontal handoffs. In fact (as explained above), only signal strength and channel availability are considered in horizontal handoffs.
The following characteristics are newly proposed qualities which are particularly important for vertical handoff decision. In Figure. 4, we classify these characteristics and categorize them depending on their relevance and applicability.
Quality of Service: Handing over to a network with better conditions and higher performance would usually provide improved service levels. Transmission rates, error rates, and other characteristics can be measured in order to decide which network can provide a higher assurance of continuous connectivity.

3.3.1 Handoff Decisions

Cost of Service: The cost of the different services to the user is a major issue, and could sometimes be the decisive factor in the choice of a network. Different broadband wireless Internet service providers (WISPs) and cellular service providers may well provide a variety of billing plans and options that will probably influence the customer’s choice of network and thus handoff decision.
Security: Risks are inherent in any wireless technology. Some of these risks are similar to those of wired networks; some are exacerbated by wireless connectivity; some are new.
Perhaps the most significant source of risks in wireless networks is that the technology’s underlying communications medium, the airwave, is open to intruders, making it the logical equivalent of an Ethernet port in the parking lot.
Power Requirements: Wireless devices operate on limited battery power. When the level decreases, handing off (or remaining connected) to a network with low power consumption can provide elongated usage time. For instance, if a device’s battery is nearly exhausted, handing over from a WLAN to WWAN would be a smart decision. 
This is due to the fact that when operating in a cellular WWAN, the device is idle for most of the time. 
However, given the unpredictable and erratic nature of transmissions with WLANs, handsets are unable to standby between packet transmission since there is no set time for the arrival and transmission of data and packets arrive sporadically.

Proactive Handoff: By proactive handoff, the users are involved in the vertical handoff decision and have the final decision on whether or not to handoff, regardless of the network conditions. By permitting the user to choose a preferred network, the system is able to accommodate the user’s special requirements.
Velocity: In vertical handoff, the velocity factor has a larger weight and imperative effect on handoff decision than in horizontal handoffs. Because of the overlaid architecture of heterogeneous networks, handing off to an embedded network when traveling at high speeds is discouraged since a handoff back to the original network would occur very shortly afterward.

3.3.2 Radio Link Transfer

Radio link transfer, the second part of the handoff process, refers to the task of forming links to a call at the new base station. The radio link is transferred from the old to the new base station. If the radio link transfer is within the currently serving cell, referred to as intracell handoff, no new link transfer operations are required. 
However, a handoff made from one cell to another, referred to as intercell handoff, requires handoff rerouting operations to link the mobile’s current communication path to the new base station. 
Once a handoff procedure has commenced, handoff schemes can vary in the approach they take to transfer a call to a new link. The two approaches taken are known as forward and backward handoffs. 
In backward handoff the old serving base station prepares the handoff, and no access to the target base station is made until the control unit of the new base station has confirmed the allocation of resources. 
In forward handoff the process is initiated by means of the target base station without relying on the old base station during the preliminary phase of the handoff process. 
Each of these two methods has its pros and cons. The advantage of backward handoff is that the signaling information is transmitted through an existing radio link; therefore, the establishment of a new signaling channel is not required during the initial stages of the handoff process. 
The drawback, however, is that the handoff process may be unsuccessful if the link quality of the serving base station was rapidly deteriorating (e.g., due to rapid mobility). This type of handoff is used in most cellular networks to date. Forward handoff, on the contrary, is a faster handoff process, but its problem is a drop in handoff reliability.

3.3.3 Channel Assignment

The final handoff stage is channel assignment which consists of the allocation of resources at the new base station. 
If a new call is admitted to access the network, a call admission control (CAC) algorithm will make a decision to accept or reject it according to the amount of available resources vs. QoS requirements, and the effect on QoS of existing connections that may occur as a result of the new connection. Channel assignment is part of CAC and resource management, and therefore is not discussed in detail here.

3.4 Voluntary and Obligatory Handoffs

Different handoff forms can be distinguished based on need. To elucidate this point, consider the following handoff scenario. 
A crowded town would usually contain several base stations in the city center, and there would be immense amounts of coverage overlap between neighboring base stations. 
Assuming that one of these base stations becomes fully overloaded to the extent that adding more nodes would degrade its performance and quality of service, it becomes beneficial for some of the terminals to be reassigned to another base station in order to relieve the jammed base station. In this situation a handoff is preferable but not mandatory. 
On the contrary, if a user was driving on a highway with dispersed base stations and negligible coverage overlapping, it becomes crucial for handoff to take place; otherwise, the connection will be broken. 
A vertical handoff could be voluntary or obligatory, depending on the direction of handoff. When handing over from a WLAN to a cellular network, delay in the handoff transmission region must be short, so the preferred handoff point is the first time the signal strength degrades. 
In this case the handoff is obligatory or the connection is lost. Obligatory handoffs are also referred to as forced vertical handoffs (FVHs). On the other hand, since a cellular network covers a wide area and the handoff time is not critical, the preferred handoff point from cellular to WLAN is the first time the signal strength in the WLAN reaches an acceptable level. 
The handoff is voluntary in that case, and the handoff time is not critical.In many cases measured metrics, such as SNR and BER, will signify that a specific network is reliable and provides high quality of service. In several of the currently proposed vertical handoff schemes 9, this would routinely lead to a vertical handoff to that network. 
Nonetheless, one essential factor frequently neglected is the position and movement direction of the mobile node. Occasionally, this motion could indicate that the person will probably promptly leave this network’s coverage area. Consequently, although the newly encountered network is in healthy condition, handoff to it would almost immediately be followed by another reverse handoff back to the original network. Such vertical handoffs are ineffectual, overwhelm the network with fruitless communications, and may at times irritate the user.

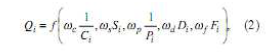
4. Vertical Handoff Decision Function

In this section we propose a vertical handoff decision function (VHDF). VHDF is used to measure the improvement gained by handing over to a particular network i. It is aimed at making use of some of the parameters from Fig.4 in order to make wiser handoff decisions. 
As discussed earlier, handoff decision parameters help determine which of the available networks is best suited for data transfer. Because of their importance, we choose the following net work parameters for VHDF: 
  • Cost of service (C): The cost of the different services to the user is a major issue, and can sometimes be the decisive factor in the choice of a network.
  • Security (S): When the information exchanged is confidential, a network with ® high encryption is preferred.
  • Power consumption (P): Vertically handing off to a high power consuming network is not desirable if the mobile terminal’s battery is nearly exhausted or the battery’s lifetime is relatively short.
  • Network conditions (D): Available bandwidth is used to indicate network conditions and is a major factor, especially for voice and video traffic.
  • Network performance (F): In some cases interference or unstable network connections might discourage a handoff decision.
For more information on the above mentioned parameters, please refer to an earlier section. As the mobile roams across different networks, VHDF is evaluated for all accessible networks. The network with the highest calculated value for VHDF is the most desirable for the user based on specified preferences. The network quality Qi, which provides a measure of the appropriateness of a certain network i, is measured via the function

In order to allow for different circumstances, there is an apparent necessity to weigh each factor relative to the magnitude it endows on the vertical handoff decision. Therefore, a different weight is introduced:

where wc, ws, wp, wd, and ùf are weights for each of the network parameters. The values of these weights are fractions (i.e., they range from 0 to 1). Furthermore, all five weights add up to 1.0. Each weight is proportional to the significance of a parameter to the vertical handoff decision. 
The larger the weight of a specific factor, the more important that factor is to the user and vice versa. These weights are obtained from the user via a user interface. Even though we could add the different factors in the VHDF to obtain network quality Qi , each network parameter has a different unit, which leads to the necessity of normalization. 

The final normalized equations for n networks are :

Assume that the mobile terminal detects a new network. It calculates the network quality Qi for its current network and for the newly detected network. The weights would already have fixed (but different) values that assign priorities to the various characteristics. VHDF simply calulates Qi based on Eq. 3.
The network with the highest Qi is the preferred network. If the newly detected network receives a higher Qi, vertical handoff takes place; otherwise, the device remains connected to the current network.
For a more thorough description and implementation of this vertical handoff decision scheme refer to 10.

5. Summary

Classification of handoffs and fourth generation mobile networks
The integration of heterogeneous wireless networks is one of the most anticipated features of fourth-generation systems. This is expected to be a huge step toward universal seamless access and omnipresent computing. One of the main challenges for seamless mobility is the availability of reliable horizontal (intrasystem) and vertical (intersystem) handoff schemes. Horizontal and vertical handoffs are integral components of future fourth-generation communications. 
This paper presents a tutorial on the different aspects of handoffs, and discusses handoff design and performance related issues. Some of the most desirable features of handoff schemes are discussed. Handoff decisions, radio link transfer, and channel assignment are described as stages of the complete handoff process. 
Handoffs are also classified as either voluntary or obligatory, and handoff scenarios of both categories are presented. Finally, we propose a vertical handoff decision function that provides handover decisions when roaming across heterogeneous wireless networks.

6. References
1 Q. ZHANG ET AL., “Efficient Mobility Management for Vertical Handoff between WWAN and WLAN,” IEEE Commun. Mag., vol. 41, no. 11, Nov. 2003, pp. 102–08.
2 L.-J. CHENET AL., “A Smart Decision Model for Vertical Handoff,” 4th ANWIRE Int’l. Wksp. on Wireless Internet and Reconfigurability, Athens, Greece, 2004.
3 R. CHAKRAVORTY ET AL., “On Inter-network Handover Performance using Mobile IPv6.” Univ. of Cambridge Comp. Lab., tech. rep., June 2003.
4 J. MCNAIR & F. ZHU, “Vertical Handoffs in Fourth-Generation Multinetwork Environments,” IEEE Wireless Commun., vol. 11, no. 3, June 2004, pp. 8–15.
5 C. GUO ETAL., “A Seamless and Proactive End-to-End Mobility Solution for Roaming Across Heterogeneous Wireless Networks,” IEEE JSAC, vol. 22, no. 5, June 2004, pp. 834–48.
6 N. NASSER & H. HASSANEIN, “Radio Resource Management Algorithms in Wireless Cellular Networks,” Hand book of Algorithms for Wireless Networking and Mobile Computing, A. Boukerch, Ed., Ch. 18, Chapman Hall, CRC Press, pp. 415–47.
7 I. F. AKYILDIZ ET AL., “Mobility Management in Next-Generation Wireless Systems,” Proc. IEEE, vol. 87, no. 8, Aug. 1999, pp. 1347–84.
8 F. ZHU & J. MCNAIR, “Optimizations for Vertical Hand-off Decision Algorithms,” Proc. IEEE WCNC, Mar. 2004, pp. 867–72.
9 A. HATAMI ET AL., “Analytical Framework for Handoff in Non-Homogeneous Mobile Data Networks,” Proc. PIMRC ’99, Osaka, Japan, Sept. 1999, pp. 760–64.
10 A. HASSWA, N. NASSER & H. HASSANEIN, “Tramcar: A Context-Aware, Cross-Layer Architecture for Next Generation Heterogeneous Wireless Networks,” ICC ’06, Istanbul, Turkey, June 2006.

Leave a Reply